Chapter 03 : 组合优化¶
📖 阅读信息
阅读时间:3 分钟 | 中文字符:1244
组合优化的基本概念¶
组合优化是应用于离散对象的,从有限多个可行解中找出使某个目标函数达到最优的解的优化问题
- 组合优化是离散数学(Discrete Mathematics)与最优化的交叉学科分支
组合优化与连续优化¶
连续优化

连续优化是应用于连续对象的,从无限多个可行解中找出使某个目标函数达到最优的解的优化问题。
相对决策变量为连续变量的连续优化(Continuous Optimization)问题,组合优化问题的最优解缺少好的性质,求解缺少好的工具。
组合优化例子¶
背包问题¶
连续背包问题¶
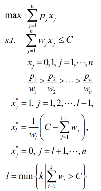
现有 \(n\) 件物品,物品 \(j\) 的价值为 \(p_j\),大小为 \(w_j\)。 物品质地均匀,可任意切割。

这是一个可分割背包问题,贪心算法即可解决。(这是一个连续优化的问题)
离散背包问题¶
现有 \(n\) 件物品,物品 \(j\) 的价值为 \(p_j\),大小为 \(w_j\)。 物品不可切割。
这便是 0-1 背包问题,动态规划可解。(这是一个组合优化的问题)
旅行商问题 - TSP¶
旅行售货商问题(TravelingSalesman Problem, TSP)
- 一推销员想在若干个城市中推销自己的产品。计划从某个城市出发,经过每个城市恰好一次,最后回到出发的城市
- 城市之间距离已知
- 如何选择环游路线,使推销员走的路程最短
可行解(环游)
- 每一条环游路线由 \(n\) 段两个城市之间的旅行路线连接而成,对应于 \(1,2,⋯,n\) 的一个圆周排列
车辆路径问题 - VRP¶

指派问题¶

排序问题¶

算法与计算复杂性¶
P v.s. NP 问题¶
P 和 NP 问题的通俗解释:
- P:有(确定性)多项式时间算法的问题
- NP:有非确定性多项式时间算法的问题
确定性算法是一种特殊的非确定性算法,故 \(P\subseteq NP\)。
所谓 P v.s. NP 问题是指 \(P=NP\) 还是 \(P\subset NP\) ?
- P v.s. NP 问题是数学和计算机科学中的重大未解决难题之一
- 目前多数人相信 \(P\subset NP\)。此时背包问题等,不存在多项式时间内求得最优解的算法
NP-完全性理论¶
NP–完全与 NP–难 的通俗解释:
- NP–C:NP 类中最难的问题
- 若一个 NP–C 问题有多项式时间算法,所有 NP 问题都有多项式时间算法
- NP–hard:不比 NP–C 问题容易的问题
- 在 \(P\not=NP\) 假设下, NP - 难 问题不存在多项式时间最优算法
NP–hard 可以是 NP 问题,也可以不是 NP 问题

在 \(P\not=NP\) 假设下,多数组合优化问题分属 P 问题 和 NP–hard 问题
NP-完全问题举例¶
- 线性规划和素性检验问题都是 P 问题
SAT 问题¶

图同构问题(目前还没完全证明)¶

组合优化的求解¶
组合优化问题通常不能通过穷举所有可能的解加以比较来求解,因为可行解的数目可能是一很大的数,以致于当前或相当长的一段时间内人力或计算机不能承受。

贪心算法¶
贪心算法:在每一次决策时,选择当前可行且最有利的决策
场馆安排问题¶
贪心算法:按结束时间从小到大的顺序排列最优

排序悖论¶

- 右边第二个是所有加工时间-1,第三个是增加一条线。可见,后面两个不如前面的好,这就是贪婪思想的局限性
- 实际上,这个问题是 NP-难问题,没有多项式时间算法
动态规划¶
动态规划是求解多阶段决策优化问题的一种数学方法和算法思想
背包问题¶


麦子收集¶
一个 n 行 m 列的棋盘,在棋盘的部分格子中各放有一颗麦子

- 一机器人从棋盘左上角的格子出发收集麦子。机器人只能从当前所在格子向下或向右移动一格,到达放有麦子的格子后,即能收集该格子中的麦子
- 如何使机器人到达棋盘右下角的格子时,收集的麦子数量尽可能多
动态规划解法如下:

启发式算法¶
启发式算法(Heuristic)是基于某种直观想法、合理假定,或者借助物理、化学、生命科学中的一些原理而设计的算法,体现了在求解的最优性、精确性与求解资源之间的权衡。启发式算法的有效性一般需通过计算机模拟验证。
常见的启发式算法有:
- 遗传算法(Genetic Algorithm)
- 模拟退火算法(Simulated Annealing)
- 禁忌搜索(Tabu Search)
- 蚁群算法(Ant Colony Optimization)
- 粒子群优化算法(Partial Swarm Optimization)
元启发式算法¶
元启发式算法是一种高层次的问题无关的算法框架,它提供了一组指导方针或策略来开发启发式优化算法
近似算法¶
同 ADS,更详细的笔记在 ADS Chapter 11 : Approximation
💬 评论
评论系统加载中...