Chapter 09: Relations¶
📖 阅读信息
阅读时间:4 分钟 | 中文字符:1467
Relations and Their Properties¶
Binary Relation¶
设 \(A\) 和 \(B\) 是集合,一个从 \(A\) 到 \(B\) 的二元关系(Binary Relation)是 \(A\times B\) 的子集。更一般地,设 \(A_1,A_2,...,A_n\) 是集合,一个关于 \(A_1,A_2,...,A_n\) 的 \(n\) 元关系是 \(A_1\times A_2\times...\times A_n\) 的子集。
Relations On A Set¶
集合 \(A\) 上的关系是从 \(A\) 到 \(A\) 的关系。
可以用一个 \(m\times n\) 的连接矩阵 \(M_R=[m_{ij}]\) 来表示集合 \(A=\{a_1,a_2,...,a_m\}\) 和 \(B=\{b_1,b_2,...,b_n\}\) 之间的关系,其中 \(m_{ij}=\begin{cases}1,(a_i,b_j)\in R\\0,(a_i,b_j)\not\in R\end{cases}\)
e.g.

Properties of Binary Relations¶
- 自反性(Reflexive Relations):若 \(\forall x(x\in A \rightarrow (x,x)\in R)\),那么定义在集合 \(A\) 上的关系 \(R\) 称为自反的。
- 反自反性(Irreflexive Relations):若 \(\forall x(x\in A\rightarrow (x,x)\not\in R)\) ,那么定义在集合 \(A\) 上的关系 \(R\) 称为反自反的。
- 对称性(Symmetric Relations):若 \(\forall x\forall y((x,y)\in R\rightarrow (y,x)\in R)\) ,那么定义在集合 \(A\) 上的关系 \(R\) 称为对称的。
- 反对称性(Antisymmetric Relations):若 \(\forall x\forall y((x,y)\in R \land (y,x)\in R\rightarrow x=y)\),那么定义在集合 \(A\) 上的关系 \(R\) 称为反对称的。
- 传递性(Transitive Relations):若 \(\forall x\forall y\forall z((x,y)\in R \land (y,z)\in R \rightarrow (x,z)\in R)\),那么定义在集合 \(A\) 上的关系 \(R\) 称为传递的。
Combining Relations¶
设 \(A=\{a_1,a_2,...,a_n\},B=\{b_1,b_2,...,b_m\},M_{R_1}=[c_{ij}],M_{R_2}=[d_{ij}]\),通过连接矩阵来表示:
- \(M_{R_1\bigcup R_2}=[c_{ij}\lor d_{ij}]=M_{R_1}\lor M_{R_2}\)
- \(M_{R_1\bigcap R_2}=[c_{ij}\land d_{ij}]=M_{R_1}\land M_{R_2}\)
- \(M_{\overline{R_1}}=[\overline{c_{ij}}]\)
- \(M_{R_1-R_2}=M_{R_1\bigcap \overline{R_2}}=[c_{ij}\land \overline{d_{ij}}]\)
设 \(R\) 是从集合 \(A\) 到集合 \(B\) 的关系,\(S\) 是从集合 \(B\) 到集合 \(C\) 的关系。\(R\) 与 \(S\) 的合成是由有序对 \((a,c)\) 的集合构成的关系,其中 \(a\in A,c\in C\),并且存在一个 \(b\in B\) 的元素,使得 \((a,b)\in R\) 且 \((b,c)\in S\)。我们用 \(S\circ R\) 表示 \(R\) 与 \(S\) 的合成。\(M_{R\circ S}=M_S\times M_R\)
The Power of a relation R¶
设 \(R\) 是集合 \(A\) 上的关系。\(R\) 的 \(n\) 次幂 \(R^n(n=1,2,3,...)\) 递归地定义为 \(R^1=R\) 和 \(R^{n+1}=R^n\circ R\)
定理:集合 \(A\) 上的关系 \(R\) 是传递的,当且仅当对 \(n=1,2,3,...\) 有 \(R^n\subseteq R\)
Inverse Relation¶
设 \(R\) 是从 \(A\) 到 \(B\) 的关系,那么其逆关系 \(R^{-1}/R^c=\{(b,a)|(a,b)\in R,a\in A,b\in B\}\)
逆关系具有如下性质:
- \((R\bigcup S)^{-1}=R^{-1}\bigcup S^{-1}\)
- \((R\bigcap S)^{-1}=R^{-1}\bigcap S^{-1}\)
- \(\overline{R}^{-1}=\overline{R^{-1}}\)
- \((R-S)^{-1}=R^{-1}-S^{-1}\)
- \((A\times B)^{-1}=B\times A\)
- \(\overline{R}=A\times B-R\)
- \((S\circ T)^{-1}=T^{-1}\circ S^{-1}\)
- \((R\circ T)\circ P=R\circ(T\circ P)\)
- \((R\bigcup S)\circ T=R\circ T\bigcup S\circ T\)
n-ary Relations and Their Applications¶
Representing Relations¶
Closures of Relations¶
What Is Closures of Relations¶
定义:设 \(R\) 是集合 \(A\) 上的关系,关系 \(R\) 具有性质 \(P\) 的闭包(Closure) 即为集合 \(A\) 上包含 \(R\) 的具有性质 \(P\) 的关系 \(S\) ,并且 \(S\) 是每一个包含 \(R\) 的具有性质 \(P\) 的 \(A\times A\) 的子集。(简单理解即为 \(R\) 的具有性质 \(P\) 的闭包就是把 \(R\) 与满足性质 \(P\) 的关系的集合取并)
Reflexive Closure¶
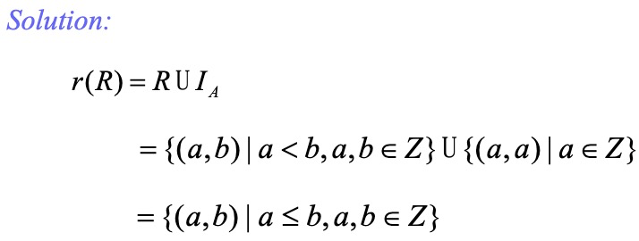
定义:设 \(R\) 是集合 \(A\) 上的关系,那么 \(R\) 的自反闭包(Reflexive Closure),记为 \(r(R)\) ,是 \(R\bigcup I_A\) (其中 \(I_A\) 即为 \(A\) 的对角关系,\(I_A=\{(x,x)|x\in A\}\))
\(R=R\bigcup I_A\Leftrightarrow R\) 是一个自反闭包
e.g. \(R=\{(a,b)|a<b,a,b\in Z\}\),求 \(R\) 的自反闭包。

Symmetric Closure¶
定义:设 \(R\) 是集合 \(A\) 上的关系,那么 \(R\) 的对称闭包(Symmetric Closure),记为 \(s(R)\) ,是 \(R\bigcup R^{-1}\) 。
\(R=R\bigcup R^{-1}\Leftrightarrow R\) 是一个对称闭包

Transitive Closure¶
定义:设 \(R\) 是集合 \(A\) 上的关系,那么 \(R\) 的传递闭包(Transitive Closure),记为 \(t(R)\) ,满足 \(\forall a\in A\space\forall b\in A\space a\) 可达 \(b\rightarrow (a,b)\in R\)

定理:设 \(R\) 是集合 \(A\) 上的关系,那么存在一条 \(a\) 到 \(b\) 长度为 \(n\) 的路径 \(\Leftrightarrow (a,b)\in R^n\)。

Connectivity Relation¶
定义:连通关系(Connectivity Relation)即为一个有序对 \((a,b)\) 的集合,满足在 \(R\) 中存在一个 \(a\) 到 \(b\) 的道路,记为 \(R^*\) 。
定理:
- \(t(R)=R^*\)
- 如果 \(|A|=n\),那么任何长度大于 \(n\) 的道路一定含有回环。
- 如果 \(|A|=n\) ,\(R\) 是集合 \(A\) 上的关系,那么 \(\exists k,k\leq n,R^*=R\bigcup R^2\bigcup...\bigcup R^k,t(R)=R^*=R\bigcup R^2\bigcup...\bigcup R^n\)
- \(M_{t(R)}=M_R\lor M_R^{[2]}\lor...\lor M_R^{[n]}\)
Warshall's Algorithm¶
内部顶点:对于一条从 \(a\) 到 \(b\) 的路径,除了起点 \(a\) 和终点 \(b\) 出现在路径中的所有顶点。
沃舍尔算法(Warshall's Algorithm):构造一系列 0-1 矩阵 \(W_0,W_1,...,W_n\) ,其中 \(W_0=M_R,W_k=[\omega_{ij}^{(k)}]\),其中如果存在一条从 \(v_i\) 到 \(v_j\) 的路径使得这条路径的所有内部顶点都在集合 \(\{v_1,v_2,...,v_k\}\) (前 \(k\) 个顶点)中,那么 \(\omega_{ij}^{(k)}=1\),否则为 0(这条路径的起点和终点可能在集合之外),由定义可知 \(W_n=M_{t(R)}\)
引理:\(\omega_{ij}^{[k]}=\omega_{ij}^{[k-1]}\lor(\omega_{ik}^{[k-1]}\land\omega_{kj}^{[k-1]})\)
Equivalence Relations¶
Equivalence Relations¶
如果一个定义在集合 \(A\) 上的关系 \(R\) 是自反的、对称的和传递的,那么称关系 \(R\) 是等价关系(Equivalence Relations)。若两个元素 \(a\) 和 \(b\) 通过等价关系而关联,则称它们是等价的,记为 \(a\)~\(b\)。
Equivalence Class¶
设 \(R\) 是定义在集合 \(A\) 上的等价关系,与 \(A\) 中其中一个元素 \(a\) 有关系的所有元素的集合叫作 \(a\) 的等价类(Equivalence Class),记作 \([a]_R/[a]\),由定义 \([a]_R=\{s|(a,s)\in R\}\),如果 \(b\in [a]_R\),那么称 \(b\) 为等价类的代表。
e.g. 模 3 同余的关系 \(R=\{(a,b)|a\equiv b(mod\space3),a,b\in Z\}\),证明其是一个等价关系并指出其等价类。


Partition of a Set¶
令 \(\{A_1,A_2,...\}\) 是 \(A\) 的子集的组合。那么这个组合被称为 \(A\) 的划分(Partition,记作 \(pr(A)\))当且仅当:
- \(A_i\not=\phi,i\in Z\)
- \(A_i\bigcap A_j=\phi,i\not=j\)
- \(\forall a\in A,\exists i, a\in A_i(i=1,2,...)\)
Equivalence Classes and Partitions¶
令 \(R\) 是一个集合 \(A\) 上的等价关系,定理:
- \(aRb\Leftrightarrow [a]=[b]\Leftrightarrow [a]\bigcap[b]\not=\phi\)
- \(R\) 的等价类是 \(A\) 的划分。反过来说,如果给定一个 \(A\) 的划分 \(\{A_i|i\in I\}\),那么一定有一个对应的等价关系 \(R\),使得其等价类为这个划分。
The Operations of Equivalence Relations¶
如果 \(R_1,R_2\) 是 \(A\) 的等价关系,定理:
- \(R_1\bigcap R_2\) 也是 \(A\) 的等价关系。
- \(R_1\bigcup R_2\) 是 \(A\) 的对称和自反关系。
- \((R_1\bigcup R_2)^*\) 也是 \(A\) 的等价关系。
Partial Orderings¶
Partial Orderings¶
令 \(R\) 是集合 \(S\) 上的关系,如果 \(R\) 是自反的、反对称的、传递的,那么称 \(R\) 为偏序(Partial Ordering/Partial Order),记为 \((S,R)\)。用记号 \(a\preccurlyeq b\) 来表示 \((a,b)\in R\),\(a \prec b\) 表示 \((a,b)\in R,a\not=b\),\(\preccurlyeq\) 表示所有的偏序,\((S,\preccurlyeq)\) 表示所有的偏序集。
设偏序集 \((S,\preccurlyeq)\) 中的元素 \(a,b\),如果 \(a\preccurlyeq b\) 或 \(b\preccurlyeq a\) ,那么称 \(a\) 和 \(b\) 是可比的(Comparable);否则为不可比的(Incomparable)。
如果 \((S,\preccurlyeq)\) 是偏序集,且 \(S\) 中的每对元素都是可比的,则 \(S\) 称为全序集或线序集(Totally Ordered Set/Linearly Ordered Set),\(\preccurlyeq\) 被称为全序或线序(Total Order/Linear Order),一个全序集也被称为链。
对于偏序集 \((S,\preccurlyeq)\) ,如果 \(\preccurlyeq\) 是全序,并且 \(S\) 的每个非空子集都有一个最小元素,就称其为良序集(Well-Ordered Set)。
良序归纳原理:设 \(S\) 是一个良序集。归纳步骤:对所有 \(y\in S\) ,如果 \(P(x)\) 对所有 \(x\in S\) 且 \(x\prec y\) 为真,\(P(y)\) 为真,结论为 \(P(x)\) 对所有 \(x\in S\) 为真
Lexicographic Order¶
对于两个偏序集 \((A_1,\preccurlyeq_1)\) 和 \((A_2,\preccurlyeq_2)\) ,那么在 \(A_1\times A_2\) 上的字典顺序(Lexicographic Order)\(\prec\) 定义为:\((a_1,a_2)\prec(b_1,b_2)\Leftrightarrow (a_1\prec_1b_1) \lor((a_1=b_1)\land(a_2\prec_2b_2))\)

Hasse diagrams¶

Chain and Antichain¶
设 \((A,\preccurlyeq)\) 是一个偏序集,\(B\subseteq A\),如果 \((B,\preccurlyeq)\) 是一个全序集,那么 \(B\) 被称为 \((A,\preccurlyeq)\) 的链(Chain),链的长度为 \(|B|\);如果 \(B\subseteq A\),\(\forall a,b\in B(a\neq b),(a,b)\not\in R,(b,a)\not\in R\),那么 \(B\) 被称为 \((A,\preccurlyeq)\) 的反链(Antichain)。
Maximal and Minimal Elements¶
设 \((A,\preccurlyeq)\) 是一个偏序集,如果不存在 \(b\in A\) 使得 \(a\prec b\),那么 \(a\) 在偏序集 \((A,\preccurlyeq)\) 中是极大元(Maximal Elements);如果不存在 \(b\in A\) 使得 \(b\prec a\),那么 \(a\) 在偏序集 \((A,\preccurlyeq)\) 中是极小元(Minimal Elements)
Greatest and Least Element¶
设 \((A,\preccurlyeq)\) 是一个偏序集,如果对所有的 \(b\in A\) 有 \(b\preccurlyeq a\),那么 \(a\) 在偏序集 \((A,\preccurlyeq)\) 中是最大元(Greatest Elements);如果对所有的 \(b\in A\) 有 \(a\preccurlyeq b\),那么 \(a\) 在偏序集 \((A,\preccurlyeq)\) 中是最小元(Least Elements)
定理:当最大/最小元存在时,它是唯一的。
Upper and Lower Bounds¶
设 \(A\) 是 \(S\) 的一个子集,如果 \(u\) 是 \(S\) 中的元素,使得对所有的元素 \(a\in A\) 有 \(a\preccurlyeq u\),那么 \(u\) 被称为 \(A\) 的一个上界(Upper Bounds);如果 \(u\) 是 \(S\) 中的元素,使得对所有的元素 \(a\in A\) 有 \(u\preccurlyeq a\),那么 \(u\) 被称为 \(A\) 的一个下界(Lower Bounds)。
若任意 \(a\in A\) 有 \(a\preccurlyeq x\),并且对于 \(A\) 的任意上界 \(z\) 有 \(x\preccurlyeq z\),则 \(x\) 被称为 \(A\) 的最小上界(Least Upper Bounds),记作 \(lub(A)\);如果 \(y\) 是 \(A\) 的下界,并且对于 \(A\) 的任意下界 \(z\),有 \(z\preccurlyeq y\),则 \(y\) 被称为 \(A\) 的最大下界(Greatest Lower Bounds),记作 \(glb(A)\)。
Lattices¶
如果一个偏序集的每对元素都有最小上界和最大下界,那么称这个偏序集为格(Lattices)
Topological Sorting¶
如果只要 \(aRb\) 就有 \(a\preccurlyeq b\),则称一个全序 \(\preccurlyeq\) 与偏序 \(R\) 是相容的(Compatible)。从一个偏序构造一个相容的全序称为拓扑排序(Topological Sorting)。
引理:每个有穷非空偏序集 \((S,\preccurlyeq)\) 至少有一个极小元。
💬 评论
评论系统加载中...